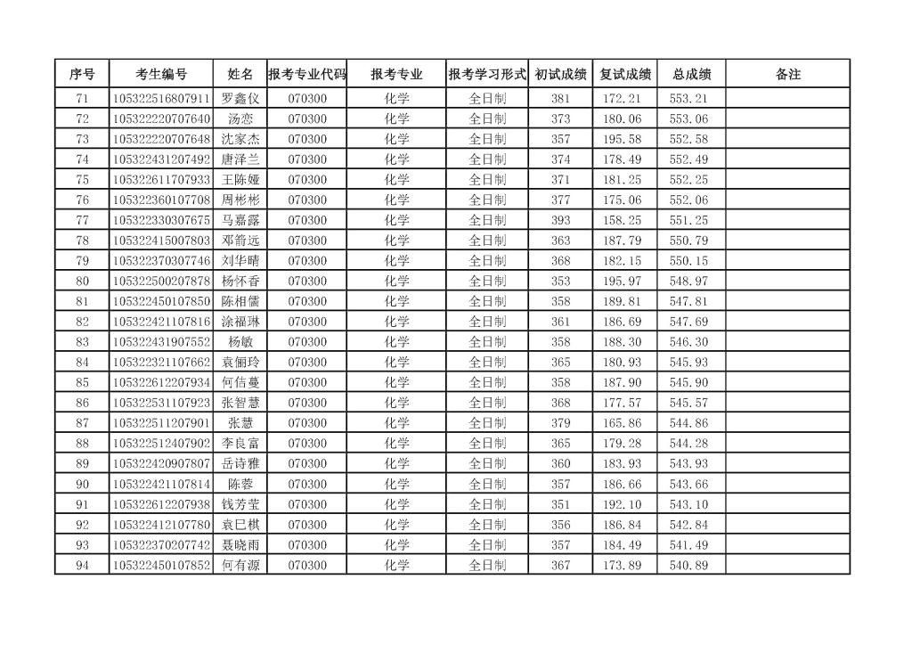
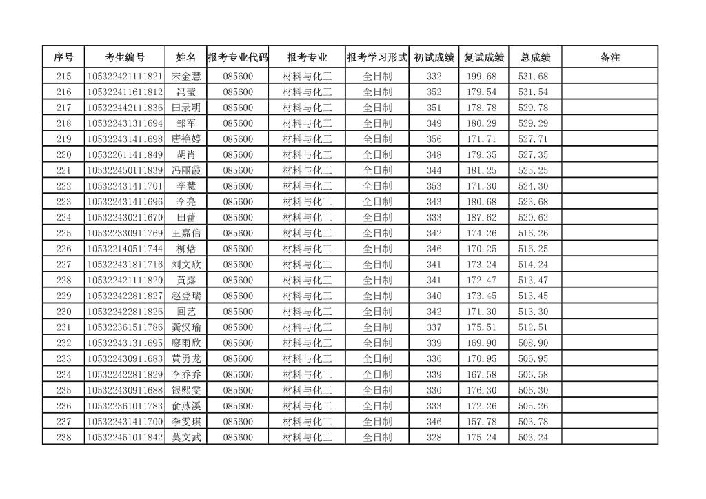
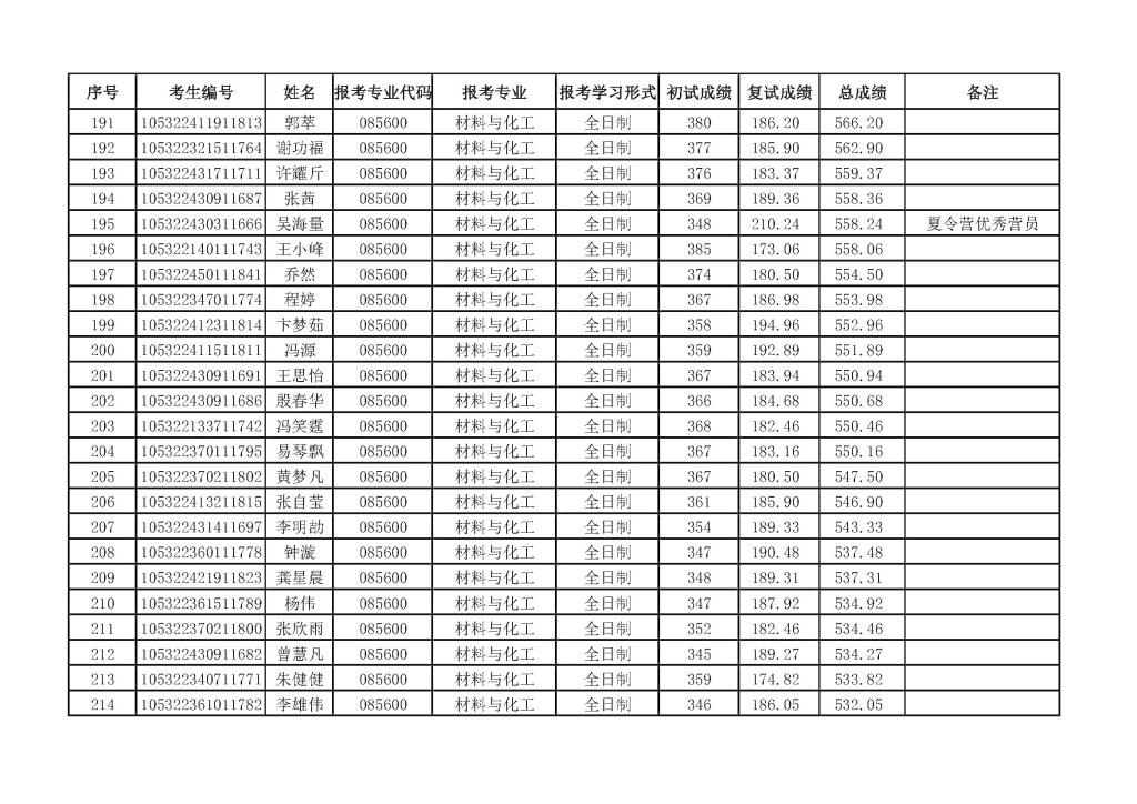
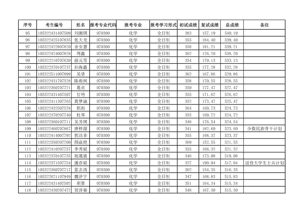
通讯员: 发布时间:2022-04-04 浏览量:次
上一条:永利集团248cc登录2022年硕士研究生拟录取名单
下一条:永利集团248cc登录永利集团248cc登录2022年硕士研究生招生考试复试面试的通知